功能介绍
资料分析
增长率计算

【单选题】


从3月上旬到12月底,存款基准利率增涨比率是:

A.48%

B.35.3%

C.1.89%

D.84%

解析:

第一步,本题考查增长率计算。

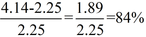
第二步,定位表格数据,3月上旬存款基准利率为2.25%,12月底存款基准利率为4.14%。

第三步,根据,可得存款基准利率增涨比率=

因此,答案是D选项。

END