功能介绍
资料分析
增长率比较

【单选题】


2015年,贷款基准利率增涨比率最高的月份是:

A.7月

B.9月

C.5月

D.3月

解析:

第一步,本题考查增长率比较。

第二步,定位表格数据贷款基准利率两列。

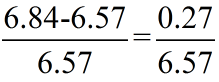
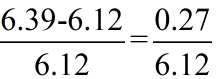
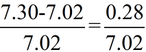
第三步,7月:;9月:;5月:;3月:;四个数据分别比较,3月数据分子与7月、9月相同,分母较小,则3月数值较大,排除A、B两项,3月数据与5月相比,分子大且分母小,则3月数值较大,故贷款基准利率增涨比率最高的是3月份。

因此,答案是D选项。

END