增长率计算
【单选题】
2014年我国经济在转型升级中步入中高速发展的“新常态”,战略性新兴产业和生产性服务业逆势上行,渐成拉动经济增长的两大“新引擎”。
以发展速度论,新业态快速进入百姓生活,新型服务业攻城略地,势如破竹。2014年,金融业增加值增速较快,比第三产业增加值增速8. 1%快2. 1个百分点。电子商务全国网上零售增长赢得最佳绩,比全社会消费品零售总额增速12. 0%快37.7个百分点,并拉动快递业务量较上年增长61. 6%之后再创51. 9%的高增速。工业高技术产业超越传统产业,增加值同比增长12. 3%,较规模以上工业增速快4. 0个百分点。科技含量高、新兴产业比重大的制造业不少实现了两位数增长。新能源产业沐浴政策春风茁壮成长,涨势惊人:核电增长36.1%,并网风电增长25. 6%,增速分别提升19. 9个和1. 1个百分点:并网太阳能发电在上年增长3. 4倍的基础上,继续保持67. 0%的高增长。
以影响和贡献论,新产业、新业态助推经济增长功不可没。据对持续走强的服务业测算,2014年,金融业增加值占第三产业增加值的比重达到15. 3%,金融业增加值占GDP的比重从上年的 5. 89%跃升至7. 37%,一举突破十二五以来在5%左右徘徊的格局。考量新产业、新业态对经济增长的牵引力,经济大省可见一斑:广东规模以上租赁和商务服务业实现营业收入增长12. 6%,对全省规模以上服务业营业收入增长的贡献率超过30%;山东高端装备制造业增加值增长12. 1%,对全省工业增长的贡献率为34. 4%;江苏仅快递业务收入就增长40. 6%,拉动邮政业务收入增长24. 9%,贡献率高达87. 5%。
2014年我国第三产业增加值占GDP的比重约为( )
A.48.2%
B.46.8%
C.45.3%
D.44.1%

解析:
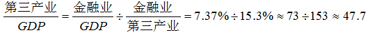
第一步,定位最后一段,2014年金融业增加值占第三产业增加值的比重达到15.3%,金融业增加值占GDP的比重跃升至7.37%。
第二步,求2014年我国第三产业增加值占GDP的比重,可判定此题为现期比重计算问题。
,
,
与A选项最为接近。
因此,选择A选项。
END
