比重计算
【单选题】
阅读下列材料,回答下面的题目。
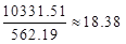
根据《2008年全国教育事业发展统计公报》,2008年,全国共有小学30.09万所,比上年减少1.92万所,招生1695.72万人,比上年减少40.35万人;在校生10331.51万人,比上年减少232.49万人;小学毕业生数1864.95万人,比上年减少5.22万人,小学学龄儿童净入学率达到99.54%,其中男女净入学率分别为99.50%和99.58%。
在师资方面,2008年全国小学教职工613.29万人,比上年减少0.09万人,其中专任教师562.19万人,比上年增加0.93万人。小学专任教师学历合格率99.27%,比上年提高0.16个百分点。
生师比是指在校学生与专任教师的比例,2008年全国小学的生师比约为()。
A.16.85∶1
B.17.2∶1
C.18.38∶1
D.18.82∶1

解析:
2008年,全国小学在校生10331.51万人,专任教师562.19万人,所以2008年全国小学生师比为![]()
,因此,本题答案为C选项。
END
